扫一扫分享
cubic-bezier 曲线是 css3 动画的一个重要基石。另一个为 steps (ease 等都是 cubic-bezier 的特殊形式),css3 中的 cubic_bezier 曲线限制了首尾两控制点的位置,通过调整中间两控制点的位置可以灵活得到常用的动画效果,同时 canvas 也进行了相应的支持,也存在相应的工具可以根据想要的曲线得到对应 cubic bezier 曲线的控制点参数。
而 ie(6-9) 却没有相应的支持,为了能在各个平台得到一致的动画效果,则不可避免要在 ie 上通过定时器沿着指定控制点参数的 cubic bezier 曲线来手动更新动画对象的数值。
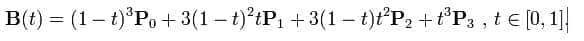
cubic-bezier 公式不是简单的 y= x 公式,而是引入了第三个变量 t,由于动画中关键在于计算比例,即在总时间的某个时间点百分比得到相应的值相对于最终值的比例,那么只需要得到 0,1 区间的曲线即可。 而 [x,y] -> [0,1] 内的曲线则是通过 t 在 0,1 内连续变化而得到:

其中 P0, P1 ,P2, P3 都为两维 xy 向量
仅供个人学习参考/导航指引使用,具体请以第三方网站说明为准,本站不提供任何专业建议。如果地址失效或描述有误,请联系站长反馈~感谢您的理解与支持!
手机扫一扫预览