方差、标准差在线计算器
分享扫一扫分享
方差与标准差
方差和标准差是用来描述一组数据的波动性的(集中还是分散)标准差的平方就是方差。
一、方差是在概率论和统计方差衡量随机变量或一组数据时离散程度的度量。概率论中方差用来度量随机变量和其数学期望(即均值)之间的偏离程度。统计中的方差(样本方差)是各个数据分别与其平均数之差的平方的和的平均数。在许多实际问题中,研究方差即偏离程度有着重要意义。方差是衡量源数据和期望值相差的度量值。
二、标准差 ,中文环境中又常称均方差,但不同于均方误差,均方误差是各数据偏离真实值的距离平方的平均数,也即误差平方和的平均数,计算公式形式上接近方差,它的开方叫均方根误差,均方根误差才和标准差形式上接近),标准差是离均差平方和平均后的方根,用σ表示。标准差是方差的算术平方根。标准差能反映一个数据集的离散程度。平均数相同的一组数据,标准差未必相同。
注:方差和标准差是测算离散趋势最重要、最常用的指标。
举例说明
例如,A、B两组各有6位学生参加同一次语文测验,A组的分数为95、85、75、65、55、45,B组的分数为73、72、71、69、68、67。这两组的平均数都是70,但A组的标准差为17.08分,B组的标准差为2.16分,说明A组学生之间的差距要比B组学生之间的差距大得多。
标准差也被称为标准偏差,或者实验标准差。
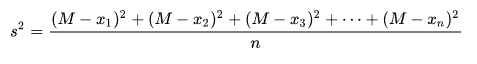
方差和标准差的公式是什么?
1、若x1,x2,x3......xn的平均数为M,则方差公式可表示为:

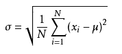
2、标准差的公式

公式中数值X1,X2,X3,......XN(皆为实数),其平均值(算术平均值)为μ,标准差为σ。
方差的性质:
当数据分布比较分散(即数据在平均数附近波动较大)时,各个数据与平均数的差的平方和较大,方差就较大;当数据分布比较集中时,各个数据与平均数的差的平方和较小。因此方差越大,数据的波动越大;方差越小,数据的波动就越小。
样本中各数据与样本平均数的差的平方和的平均数叫做样本方差;样本方差的算术平方根叫做样本标准差。样本方差和样本标准差都是衡量一个样本波动大小的量,样本方差或样本标准差越大,样本数据的波动就越大。







